J-0
00m
00j
00h
00min
00s

Version interactive avec LaTeX compilé

E3A Physique Chimie PSI 2007

Notez ce sujet en cliquant sur l'étoile
0.0(0 votes)
Logo e3a
2025_09_04_f64d01cc465c14da8f86g

Épreuve de Physique - Chimie PSI

durée 4 heures

Si, au cours de l'épreuve, un candidat repère ce qui lui semble être une erreur d'énoncé, d'une part il le signale au chef de salle, d'autre part il le signale sur sa copie et poursuit sa composition en indiquant les raisons des initiatives qu'il est amené à prendre.

L'usage de la calculatrice est autorisé

Ce problème illustre le fonctionnement d'une unité de dessalement de l'eau de mer et comporte deux volets indépendants : la chimie de l'eau de mer (première partie), le dessalement par osmose inverse et le bilan énergétique de l'installation (seconde partie).
Remarques préliminaires importantes : il est rappelé aux candidat(e)s que
  • les explications des phénomènes étudiés interviennent dans la notation au même titre que les développements analytiques et les applications numériques; les résultats exprimés sans unité ne seront pas comptabilisés,
  • tout au long de l'énoncé, les paragraphes en italiques ont pour objet d'aider à la compréhension du problème mais ne donnent pas lieu à des questions,
  • tout résultat fourni dans l'énoncé peut être admis et utilisé par la suite, même s'il n'a pas été démontré par les candidat(e)s.
La population du monde ne cesse d'augmenter alors que la ressource en eau de la planète se dégrade. de l'eau disponible sur la Terre se trouve dans l'océan ... mais elle est salée. Les pays en voie de développement, qui ont un besoin croissant en eau, se sont donc tournés vers les procédés de dessalement de l'eau de mer. Jusqu'aux années 80-90, le procédé de distillation était le seul utilisé pour des installations de grande capacité. Dans les années 80 , l'osmose inverse est apparue, d'abord pour les eaux saumâtres, puis pour les eaux de mer ; elle concurrence actuellement le procédé de distillation pour des installations de capacité élevée (à Médine, en Arabie Saoudite, d'eau sont traités chaque jour par osmose inverse).

PREMIERE PARTIE: CHIMIE DE L'EAU DE MER

A / Constitution et pH de l'eau de mer

La masse totale des sels dissous dans un kilogramme d'eau de mer peut varier d'une eau de mer à une autre (plus de en mer Rouge, moins de en mer Baltique). La grande particularité de l'eau de mer est que les proportions relatives des principaux sels restent sensiblement constantes; cette propriété a été établie par le chimiste écossais W. DITTMAR et permet de considérer l'eau de mer comme une solution dont les constituants majeurs sont répertoriés dans le tableau ci-dessous. Les concentrations y sont exprimées en et en , pour une eau de salinité 35 et de masse volumique .
Espèces Concentrations Espèces Concentrations
g. mol. g. mol.
986,08 54,74 0,0046 0,00043
11,007 0,4788 19,780 0,5579
1,318 0,0542 2,772 0,0289
0,421 0,01051 0,121 à 0,149 0,00198 à 0,00245
0,408 0,01043 0,0690 0,00086
0,0081 0,000092 0,0013 0,00007
A1. Calculer la masse totale des différents constituants (eau non comprise) par litre puis par kilogramme d'eau de mer (elle devra être exprimée en , puis en ). Définir la salinité de cette eau. Pourquoi les eaux du Golfe Persique ont-elles une salinité plus élevée que celles de la mer Méditerranée ou de l'Océan Atlantique?
Préparons une eau de mer artificielle, selon la «recette» du tableau précédent, en mélangeant des bases fortes et des acides forts dans la quantité d'eau nécessaire. La solution ainsi constituée exclut les composés du bore, et ainsi que les ions et .
A2a. A quels acides forts et bases fortes peuvent être associés les différents ions présents ?
A2
b. Ecrire la condition d'électroneutralité de la solution . Quelles espèces, acides ou bases, sont-elles en excès dans ? Evaluer cet excès (exprimé en mol. ) en calculant l'alcalinité de la solution , définie comme : .
A3*a. En déduire le pH de la solution , sachant que le produit ionique de l'eau de mer de salinité 35 vaut .
A3*b. Montrer que le pH de la solution varie légèrement dès lors que les composés du bore, et , sont maintenant pris en compte.
A3*c. Quelle est l'influence des composés du bore et du carbone ? Quels sont les phénomènes qui provoquent les plus grandes variations du pH de l'eau de mer?

B / Equilibre thermodynamique du système

Le dioxyde de carbone est un gaz atmosphérique ; sa pression partielle est une grandeur mesurable évaluée actuellement à bar. II est soluble dans toutes les eaux
naturelles ; sa forme dissoute est en équilibre avec sa forme gazeuse et cet équilibre obéit à la loi de Henry :
est le coefficient de solubilité de pour une eau de salinité 35 et à .
L'eau de mer renferme quatre formes de carbone inorganique en solution : deux formes neutres, et , et deux formes ioniques et . Les formes neutres sont reliées par l'équilibre d'hydratation :
B1*a. Ecrire la constante de cet équilibre noté . étant proche de , en déduire que seule la somme des deux formes ioniques en solution est accessible à la mesure.
L'acide carbonique est un diacide. Compte tenu de l'équilibre [ ], sa dissociation en ion hydrogénocarbonate s'écrit sous la forme simplifiée suivante :
B1b. Justifier cette écriture, puis exprimer la constante de dissociation de l'équilibre .
B1
c. Ecrire l'équilibre de dissociation [E2] de l'ion et exprimer sa constante .
Contrairement aux vitesses d'échanges gaz-liquide qui ont des échelles de temps de plusieurs jours, les cinétiques des réactions entre espèces dissoutes sont à l'échelle du centième de seconde. Isolée ou non de l'atmosphère, l'eau de mer constitue un milieu dans lequel les espèces et sont en équilibre permanent ; c'est pourquoi il est pratique de se référer au carbone inorganique total, noté : .
B2a. Expliquer pourquoi l'état d'équilibre gaz-liquide est si lent à s'établir.
B2
b. Exprimer les concentrations et en fonction de et .
La figure 1 représente les variations en fonction du pH des trois rapports , et (exprimés en %) pour une eau de salinité 35 , à et sans échange avec l'atmosphère.
B2*C. Analyser cette représentation en déterminant les domaines de prédominance des espèces chimiques et en évaluant et .
B2*d. Le pH de l'eau de mer étant égal à 8, justifier que le fait d'augmenter la concentration en dans l'air (ce que l'homme est incontestablement en train de faire) va mettre en péril les organismes marins (coraux, mollusques à coquille, crustacés, phytoplancton...) qui ont besoin de se construire une coquille ou un squelette à base de calcaire composé majoritairement de carbonate de calcium .

C / Détermination de l'alcalinité totale par titrage acide de l'eau de mer

L'eau de mer renferme des ions inactifs qui restent, quel que soit le pH, entièrement dissociés de leurs acides ou de leurs bases conjugués ainsi que des ions actifs dont la concentration varie en fonction du pH. A partir de la relation d'électroneutralité de l'eau de mer, en groupant d'un côté les ions inactifs et de l'autre les ions actifs, il est possible de définir l'alcalinité totale comme bilan des charges électriques portées par les ions inactifs. Ceci peut s'écrire :
Modélisons le comportement de l'eau de mer en réalisant une solution de chlorure de sodium de concentration , dans laquelle se trouve de l'acide carbonique pur de concentration .
C1*a. Ecrire l'électroneutralité de la solution et montrer qu'elle peut se réduire à :
Que vaut alors l'alcalinité totale ?
C1*b. A l'aide des relations établies en * , déterminer la concentration totale de carbone inorganique en fonction de et .
C1*C. La solution S a un caractère nettement acide. Exprimer simplement, puis calculer le pH de cette solution, sachant que les différentes constantes d'équilibre valent :
Introduisons maintenant un excès d'ions sodium, par addition de soude concentrée à la solution .
C2a. Ecrire la nouvelle relation d'électroneutralité.
C2
b. En négligeant les corrections de dilution dues à l'addition de soude, exprimer la relation notée , reliant et .
Ce résultat correspond à la courbe expérimentale décrite figure 2 : les variations du pH d'une solution d'acide carbonique dans le chlorure de sodium à et de sa dérivée y sont représentés en fonction de la concentration en ion sodium ajouté.
C3a. Qualifier l'allure d'une telle courbe. Quelle(s) information(s) la courbe dérivée fournit-elle ?
C3
b. Analyser les points notés respectivement 1,2,3,4 et 5 .
Adoptons cette fois le scénario inverse : au lieu de contenir des quantités égales d'ions sodium et d'ions chlorure , une solution contient initialement un excès d'ions sodium par rapport aux ions chlorure, tel que : , et dans laquelle se trouve de l'acide carbonique pur de concentration .
Figure 2
C4*a. Après avoir reproduit succinctement le profil de la courbe de dosage (figure 2), positionner le point (noté 0 ) sur cette courbe, traduisant l'état de la solution après l'ajout d'ions sodium.
Effectuons ensuite des ajouts d'ions chlorure, sous la forme d'acide chlorhydrique concentré.
C4*b. Traduire la nouvelle électroneutralité de la solution. En déduire la relation [R2], qui relie et .
C4*c. Proposer une méthode de représentation, sur la courbe de titrage, de l'ajout des ions chlorure.
C4*d. Quelle quantité d'acide conviendrait-il de verser afin de mesurer l'excès d'ions sodium ? Conclure quant à la possibilité de mesurer l'alcalinité de la solution.

DEUXIEME PARTIE: DESSALEMENT DE L'EAU DE MER PAR OSMOSE INVERSE

L'osmose est un phénomène physico-chimique qui se produit lors du transfert de solutions à travers une membrane semi-perméable. L'osmose permet d'épurer un solvant de ses polluants, améliorant ainsi la technique de filtration, ou de concentrer une solution en éliminant le solvant. Ce transfert du solvant, ici l'eau, s'effectue sous l'action d'un gradient de concentration.

A / OSMOSE INVERSE

Considérons un système (figure 3a) constitué de deux compartiments de même volume et à la même température . La membrane qui les sépare est semi-perméable, seules les molécules de solvant peuvent la traverser alors qu'elle est imperméable aux espèces dissoutes en solution et constituantes du soluté. Les solutions sont supposées idéales.
  • Le compartiment (1) contient moles de et moles de ; la solution a pour fraction molaire en et en .
  • Le compartiment (2) contient moles de et moles de ; la solution a pour fraction molaire en et en .
  • Le compartiment (2) contient la solution la plus concentrée ou la plus saline : .
Figures 3 : osmose directe
Figures 4 : osmose inverse
Le potentiel chimique d'un constituant dans un mélange liquide idéal sous une pression et à la température est relié à sa fraction molaire et au potentiel chimique du constituant pur pris dans les mêmes conditions ( ) par la relation:
A1a. Quelles relations a-t-on entre les fractions molaires et , puis entre et ?
A1
b. Exprimer, pour le compartiment (1), les potentiels chimiques du solvant et du soluté en fonction de et des potentiels chimiques des corps purs. Ecrire de même et pour le compartiment (2).
L'osmose directe se traduit par un flux du solvant dirigé du compartiment (1) vers le compartiment (2) (figure 3b) jusqu'à ce que le système soit à l'équilibre osmotique (figure 3c).
A1*c. Relier les variations et dues au passage spontané du solvant à travers la membrane. Que dire de et ?
A1*d. La température et la pression étant constantes, écrire la différentielle dG de l'enthalpie libre du système en fonction de , et , puis en fonction de , de la température T et de la constante des gaz parfaits R .
A1*e. En déduire le sens du transfert des molécules de solvant à travers la membrane.
La pression osmotique absolue de la solution (1) est définie comme la pression qu'il faut lui appliquer pour arrêter l'arrivée du solvant - l'eau dans la solution (1) - en considérant que la solution (2) n'est constituée que d'eau pure (figure 3a). Le volume molaire du solvant pur, supposé indépendant de la pression dans l'intervalle de pression considéré, est défini par :
A2*a. Déterminer dans le cas d'une solution assez diluée où et , la différence :
En déduire la relation de Van't Hoff reliant et .
A2*b. Quelle équation relie , le volume du solvant pur et ?
Quelle loi connue cette l'expression vous rappelle-t-elle?
Déduire de cette loi l'expression de en fonction de et la concentration molaire du soluté A. [le volume du solvant pur est supposé identique au volume de la solution (solvant + soluté)].
Dans le cas où le compartiment (1) contient plusieurs espèces dissoutes de concentrations molaires respectives , la pression osmotique absolue de la solution (1) est :
A2*c. Calculer la pression osmotique absolue d'une solution aqueuse de NaCl , dont la concentration en sel vaut (ou ) à .
Données : masses molaires et ; constante des gaz parfaits .
Exprimer cette pression osmotique en bar, sachant qu'un bar vaut .
Revenons au système , la pression osmotique absolue de la solution (1) et , la pression osmotique absolue de la solution (2) sont les pressions qu'il faut respectivement appliquer pour stopper le flux de solvant à travers la membrane (figure 3a).
A3*a. La solution (2) est constituée des mêmes espèces dissoutes que la solution (1), mais à des concentrations différentes : écrire en fonction de et .
A3*b. Lorsque les surpressions et ne sont plus appliquées, montrer que le système atteint une position d'équilibre caractérisée par une dénivellation (figure ou ) correspondant à la pression osmotique apparente: , où est la masse volumique de la solution et g l'accélération de la pesanteur.
A3*c. Les deux compartiments renferment des solutions aqueuses de NaCl aux concentrations respectives de et ; calculer, à , la pression osmotique apparente , exprimée en bar.
Appliquons sur le compartiment (2) renfermant la solution la plus concentrée, une pression supérieure à la pression osmotique apparente (figure ) ; une migration d'eau est alors observée en sens inverse du flux osmotique normal, de la solution plus concentrée vers la solution moins concentrée : c'est le phénomène d'osmose inverse découvert par REID en 1950.
A4*a. Que devient la pression osmotique dans le compartiment de droite où la surpression est appliquée?
A4*b. En vous appuyant sur des considérations thermodynamiques, expliquer le sens des transferts dans l'osmose directe et dans l'osmose inverse.

B / FONCTIONNEMENT DE L'OSMOSEUR

La figure 5 ci-dessous schématise le fonctionnement d'un osmoseur industriel.
Figure 5
Turbopompe haute pression
L'alimentation de l'osmoseur est la solution à épurer, elle est puisée en mer par des pompes immergées, éventuellement prétraitée, puis stockée dans un bassin de rétention. Elle est ensuite mise sous pression par l'intermédiaire d'une turbopompe haute pression puis introduite dans le module d'osmose inverse ; ce module renferme une ou plusieurs membranes en polyamide, montées dans des supports plans ou spiralés. La solution à traiter s'écoule tangentiellement à la membrane puis se divise en deux parties de concentrations différentes : la partie qui passe à travers la membrane est le perméat, l'autre, qui ne passe pas à travers la membrane, est appelée concentrat ou retentat. Les membranes doivent être stables chimiquement, thermiquement et d'un point de vue microbiologique.
L'installation est équipée de pressostats Pr (dispositifs permettant le contrôle de la pression) en amont et en aval de la pompe haute pression, de débitmètres sur les deux sorties du module, de vannes de régulation du débit, d'un clapet anti-retour ainsi que d'un conductimètre .
B1a. Expliquer pourquoi du chlore doit être injecté dès le début de la prise d'eau de mer.
B1
b. Préciser le rôle des pressostats mentionnés sur le schéma de l'installation.
Tout le dispositif fonctionnant en régime permanent, les concentrations massiques C (exprimées en ) et les débits volumiques de l'installation seront notés comme suit :
  • concentration de soluté, débit de l'eau dans le flux d'alimentation,
  • concentration de soluté, débit de l'eau dans le flux rejeté (ou concentrat),
  • concentration de soluté, débit de l'eau dans le flux produit (ou perméat).
Les membranes n'étant pas rigoureusement imperméables au soluté, l'eau est partiellement dessalée. Afin de caractériser le fonctionnement du module d'osmose inverse, quelques termes usuels doivent être préalablement définis :
  • taux de rejet: taux de soluté ne traversant pas la membrane,
  • passage de sel : taux de soluté traversant la membrane,
  • taux de conversion : rapport du débit de perméat au débit d'alimentation.
Les masses volumiques des solutions sont supposées indépendantes de la pression et des concentrations de soluté.
B2*a. Ecrire, pour le dispositif, l'équation de conservation des débits volumiques entre et ainsi que l'équation de conservation des masses de soluté reliant et .
B2*b. Si le taux est supérieur à , la concentration est pratiquement nulle. Etablir alors la relation entre et . Calculer pour de l'ordre de puis ; en déduire la pression osmotique absolue du concentrat (exprimée en bar) en partant d'une solution aqueuse de NaCl à la concentration de , à .
Les transferts de solvant et de soluté à travers une membrane semi-perméable se font par solubilisation-diffusion : toutes les espèces moléculaires (soluté et solvant) se dissolvent dans la membrane et diffusent à l'intérieur de celle-ci comme à travers un solide ou un liquide sous l'action d'un gradient de concentration et de pression.
Le flux volumique de perméat traversant la membrane (volume d'eau traversant par unité de surface et par unité de temps) s'écrit sous la forme : , où est le coefficient de perméabilité de la membrane vis-à-vis de l'eau, la pression différentielle appliquée et la différence de pression osmotique de part et d'autre de .
Le flux massique de solutés diffusant à travers la membrane (flux exprimé par unité de surface et par unité de temps) s'écrit par ailleurs : , où est le coefficient de perméabilité de la membrane vis-à-vis des solutés et la différence de concentration massique en soluté de part et d'autre de : .
B3*a. Comment expliquez-vous que l'écoulement soit dirigé tangentiellement à la membrane et non de manière frontale?
B3b. Quelles sont les facteurs favorisant ou pénalisant le débit de perméat?
B4
a. Définir la concentration en soluté dans le perméat , en fonction des flux et .
Exprimer en fonction de et , puis en fonction de et .
B4b. Déterminer la concentration en rejet salin en fonction de et .
B4
c. Avec les données numériques suivantes:
, calculer , et , sachant que la différence de pression osmotique de part et d'autre de a toujours la valeur obtenue en . Analyser ces résultats.
Le débit de perméat varie proportionnellement à l'inverse de la viscosité de l'eau de mer: . La viscosité de l'eau de mer (liquide newtonien), en fonction de la température, suit une loi du type : , où est l'énergie d'activation d'écoulement et la température absolue.
B5*a. Ecrire la variation de viscosité de l'eau de mer en fonction de la température, puis la variation relative de viscosité en fonction d'une variation de la température.
B5*b. En déduire le sens de variation du débit de perméat dès lors que la température croît.
B5*c. Exprimer puis calculer la variation relative du débit de perméat par degré d'augmentation de la température de l'eau de mer (à partir de ), sachant que .
B5*d. Quel dispositif technique faut-il prévoir au niveau du module d'osmose, et compte tenu des résultats précédents, afin d'assurer un débit de perméat sensiblement constant ?
Des calculs plus complexes, faisant intervenir les phénomènes d'adsorption au niveau de la membrane, la viscosité et la température de l'eau salée permettent d'optimiser la concentration en soluté dans le perméat , puis de définir la qualité de l'eau osmosée par rapport à des références normalisées. La figure 6 ci-dessous représente l'évolution de cette qualité de l'eau osmosée en fonction du taux de conversion, pour différentes valeurs de la pression différentielle ( ) de fonctionnement, variant entre une base unité et dix fois cette unité.
Figure 6
B6a. Définir la plage de travail pour obtenir la meilleure qualité d'eau osmosée possible.
B6
b. Préciser s'il est préférable de choisir de :
  • travailler à pression élevée (ou faible) pour un taux de conversion donné,
  • utiliser un taux de conversion faible (ou élevé) en maintenant une pression constante.
Afin de limiter les consommations d'eau, le montage de plusieurs modules - dit en «sérierejet » - est couramment pratiqué : le rejet du premier module est injecté à l'alimentation du second, et ainsi de suite. Notons respectivement les différents débits et le taux de conversion de chaque module noté .
B7*a. En vous inspirant de la figure 5, représenter schématiquement une telle association pour trois modules.
B7*b Déterminer le taux de conversion effectif de cette association, puis généraliser à la mise en série de modules identiques (taux ).
B7*c En utilisant les données et les résultats obtenus précédemment, calculer le taux de conversion effectif, pour une association série-rejet constituée de cinq modules.
A la sortie de l'installation, de nombreux contrôles ou tests physico-chimiques sont réalisés sur l'eau douce produite dont la concentration en sel doit se situer vers .
B8. Proposer deux grandeurs qui vous paraissent essentielles vis-à-vis de la qualité de l'eau produite et préciser la technique (ou le dispositif) qui permet de tester chacune d'elles.

C / BILAN ENERGETIQUE DE L'OSMOSEUR

Les besoins en énergie électrique pour le dessalement de l'eau de mer par osmose inverse constituent 42 % du coût d'exploitation. Ces besoins sont éminemment variables car ils dépendent de nombreux paramètres : capacité journalière de production, caractéristiques de l'eau de mer (salinité, température), choix du système de mise sous pression, rendement du système de récupération de l'énergie hydraulique du concentrat, facteur de conversion souhaité, choix du matériau et structure de la membrane, de l'ensemble des pré- et post-traitements effectués sur l'eau de mer ou sur le perméat.
Afin d'établir un bilan énergétique représentatif, étudions un site de dessalement possédant les caractéristiques suivantes :
module avec membrane composite, à configuration spiralée
capacité de production : /jour température :
minéralisation de l'eau de mer : facteur de conversion :
masse volumique de l'eau de mer :
pression disponible à l'alimentation de la pompe haute pression : bar
pression nette d'alimentation du module d'osmose : bar
contre-pression sur la sortie du perméat : bar.

Afin de réaliser ce bilan, procédons par étapes en analysant les postes essentiels.

Calcul préliminaire :

C1. Evaluer le débit d'alimentation ainsi que le débit de rejet (exprimés en ).
En déduire le nombre de pompes immergées nécessaires, sachant que chacune d'elles possède un débit unitaire de .

Etude de la pompe d'alimentation : (figure 5)

Le pompage en mer s'effectue à l'aide de pompes immergées, alimentées par des moteurs électriques (Mi), présentant une dénivelée de pompage de 35 m (entre le niveau de la mer et celui du bassin de rétention) et de rendement global .
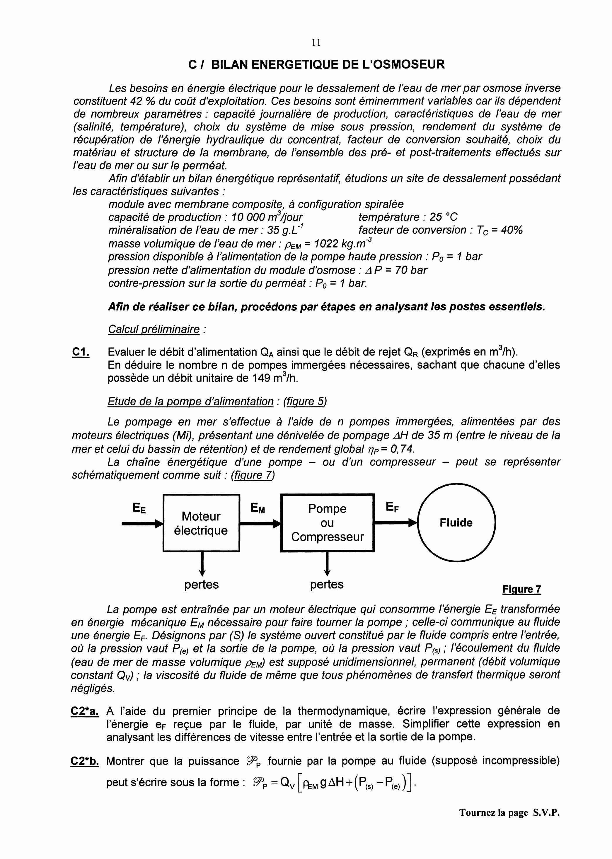
La chaîne énergétique d'une pompe - ou d'un compresseur - peut se représenter schématiquement comme suit : (figure 7)
Figure 7
La pompe est entraînée par un moteur électrique qui consomme l'énergie transformée en énergie mécanique nécessaire pour faire tourner la pompe ; celle-ci communique au fluide une énergie . Désignons par le système ouvert constitué par le fluide compris entre l'entrée, où la pression vaut et la sortie de la pompe, où la pression vaut ; l'écoulement du fluide (eau de mer de masse volumique ) est supposé unidimensionnel, permanent (débit volumique constant ) ; la viscosité du fluide de même que tous phénomènes de transfert thermique seront négligés.
C2*a. A l'aide du premier principe de la thermodynamique, écrire l'expression générale de l'énergie reçue par le fluide, par unité de masse. Simplifier cette expression en analysant les différences de vitesse entre l'entrée et la sortie de la pompe.
C2*b. Montrer que la puissance fournie par la pompe au fluide (supposé incompressible) peut s'écrire sous la forme : .
C2*c. Déterminer la puissance de la pompe immergée, en notant que la prise d'eau en mer et le rejet en bassin se font à des pressions voisines de bar.
C2*d. Calculer la puissance absorbée aux bornes du moteur entraînant la pompe (exprimée en kW ), puis la puissance totale du groupe de pompage. ( )

Pompe haute pression : (figure 5)

Cette pompe joue le rôle d'un compresseur afin d'amener l'eau salée (à la pression dans le bassin) à la pression requise à l'entrée du module d'osmose ( ). Les résultats obtenus à la question C2*b pourront être utilisés.
C3*a. Exprimer la puissance absorbée aux bornes du moteur électrique (Me) entraînant cette turbopompe en fonction du débit d'alimentation , de la pression différentielle aux bornes de celle-ci et des rendements de la turbopompe et de son moteur électrique. Calculer sachant que et . ( )
C3*b. En déduire l'énergie dépensée au niveau de la turbopompe, ramenée au mètre cube de perméat produit par l'osmoseur (exprimée en ).
Dans les premières installations d'osmose inverse, le circuit de rejet était détendu à travers une vanne, ce qui représentait une perte considérable d'énergie. La puissance associée au débit du concentrat peut être récupérée de façon avantageuse grâce à des turbines (Pelton, Kaplan) et plus récemment par des systèmes d'échangeurs de pressions (dispositifs non étudiés ici).

Bilan final :

Compte tenu du débit de concentrat, des dimensions de la conduite d'alimentation, du dispositif de récupération choisi et de son rendement, la puissance réellement récupérée s'élève à 980 kW .
C4. Evaluer la proportion de puissance ainsi récupérée par rapport à celle nécessaire pour faire fonctionner la pompe haute pression. Proposer le mode de récupération de ce pourcentage de puissance.
A ces puissances absorbées, il convient d'ajouter les pertes en lignes ainsi que les pertes dans les transformateurs d'alimentation ; la puissance associée à ces pertes s'élève à 150 kW .
C5*a. Evaluer la puissance totale associée au pompage en mer, à l'osmoseur et aux pertes électriques ; en déduire l'énergie électrique (exprimée en kWh) facturée à l'exploitant du site de dessalement par mètre cube d'eau produite.
C5*b. En comptant comme prix moyen du kWh , et sachant que la part d'énergie électrique représente du coût de fonctionnement d'une telle installation, estimer le prix de revient du mètre cube d'eau dessalée.
C5*c. Rechercher le lien entre salinité et consommation électrique du dispositif.
Est-il plus onéreux de dessaler les eaux de l'Océan Atlantique ou celles du Golfe Persique ? Justifier votre réponse.
E3A Physique Chimie PSI 2007 - Version Web LaTeX | WikiPrépa | WikiPrépa